当前位置: 首页»
通知公告
2019学年研究生学业奖学和助学金推荐名单公示
时间:2019-10-25 点击: 作者:
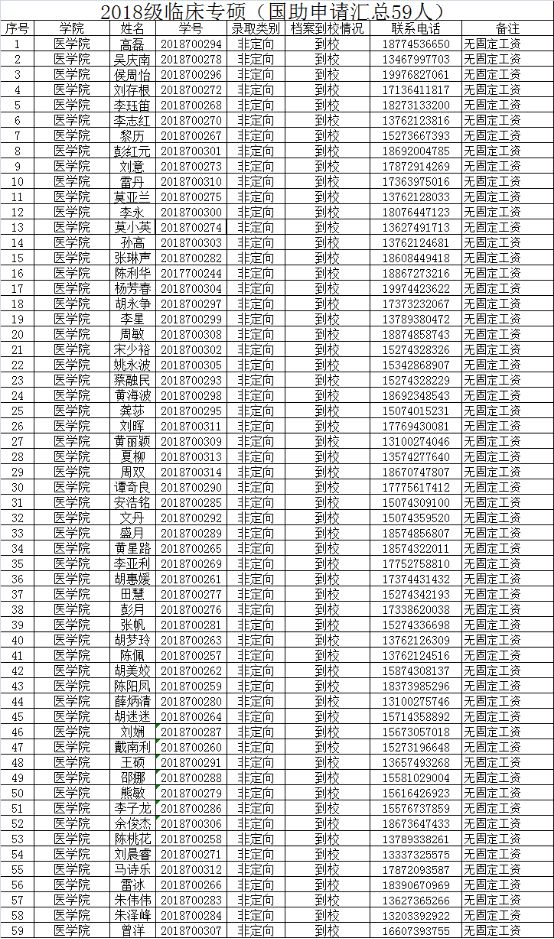
根据MK体育官网研究生院《2019—2020学年研究生国家助学金、学业奖学金评审工作的通知》和《MK体育官网研究生国家奖学金评审暂行办法(试行)》等研究生奖助体系管理规章制度,《MK体育官网研究生课程管理规定》等系列规章制度的通知(吉大发【2017】41号),经研究生本人申请、学院评定委员会评定学业奖学金和国家助学金,现将2018-2019年度学业奖学金评定名单公示以上名单,如有异议,请在公示期内(2019年10月24日—2019年10月28日)与学院研究生办联系。联系电话:15907418522 邮箱:21193390@qq.com









上一条:MK体育官网学术、学位等委员会名单公示 下一条:MK体育官网2020届毕业生求职创业补贴推荐名单公示
【关闭】


